• EI
  • Scopus
  • 中国科技期刊卓越行动计划项目资助期刊
  • 北大核心期刊
  • DOAJ
  • EBSCO
  • 中国核心学术期刊RCCSE A+
  • 中国精品科技期刊
  • JST China
  • FSTA
  • 中国农林核心期刊
  • 中国科技核心期刊CSTPCD
  • CA
  • WJCI
  • 食品科学与工程领域高质量科技期刊分级目录第一方阵T1
中国精品科技期刊2020
李佳钰,赵进龙,王雪纯,等. 微波处理对三种淀粉结构及其理化特性的影响[J]. 宝威体育平台,2024,45(24):90−97. doi: 10.13386/j.issn1002-0306.2024010112.
引用本文: 李佳钰,赵进龙,王雪纯,等. 微波处理对三种淀粉结构及其理化特性的影响[J]. 宝威体育平台,2024,45(24):90−97. doi: 10.13386/j.issn1002-0306.2024010112.
LI Jiayu, ZHAO Jinlong, WANG Xuechun, et al. Effects of Microwave Treatment on the Structure and Physicochemical Properties of Three Kinds of Starches[J]. Science and Technology of Food Industry, 2024, 45(24): 90−97. (in Chinese with English abstract). doi: 10.13386/j.issn1002-0306.2024010112.
Citation: LI Jiayu, ZHAO Jinlong, WANG Xuechun, et al. Effects of Microwave Treatment on the Structure and Physicochemical Properties of Three Kinds of Starches[J]. Science and Technology of Food Industry, 2024, 45(24): 90−97. (in Chinese with English abstract). doi: 10.13386/j.issn1002-0306.2024010112.

微波处理对三种淀粉结构及其理化特性的影响

Effects of Microwave Treatment on the Structure and Physicochemical Properties of Three Kinds of Starches

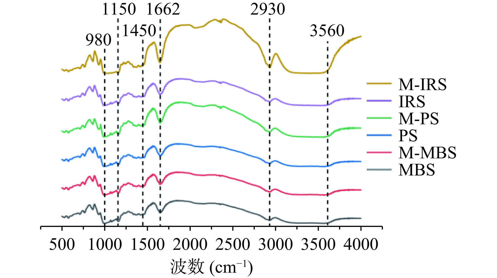
  • 摘要: 为探究微波处理对绿豆淀粉、豌豆淀粉、籼米淀粉结构特性和理化性质的影响,以这3种淀粉为原料,探究微波处理对3种淀粉的直链淀粉含量、颗粒形貌、偏光特性、结晶结构、短程有序性、热特性、糊化特性以及凝沉性的影响。结果表明,微波处理后,绿豆淀粉、豌豆淀粉、籼米淀粉的直链淀粉分别由原来的36.78%、40.29%、15.96%提高至45.49%、44.17%、27.78%。经微波处理后,3种淀粉的颗粒表面均有不同程度的裂痕和破损,且偏光十字半数以上消失。微波处理后的绿豆淀粉、豌豆淀粉、籼米淀粉的晶型和官能团未发生改变,但淀粉的相对结晶度分别降低了7.03%、4.94%、5.32%,而且微波处理后3种淀粉的峰值黏度、谷值黏度、回生值、糊化焓值均显著降低(P<0.05)。微波后的绿豆淀粉和豌豆淀粉凝沉速度比籼米淀粉更快且稳定。以上结果表明,微波处理对3种淀粉的颗粒结构和理化性质均有显著影响。

     

    Abstract: To investigate the effects of microwave treatment on the structural characteristics and physicochemical properties of mung bean starch, pea starch and indica starch, three kinds of starch before and after microwave treatment were used as raw materials to explore the effects of microwave treatment on amylose content, particle morphology, polarization characteristics, crystallization structure, short-range order, thermal properties, gelatinization properties and retrogradation of three kinds of starch. The results showed that after microwave treatment, the amylose of mung bean starch, pea starch and indica starch increased from 36.78%, 40.29%, 15.96% to 45.49%, 44.17%, 27.78%, respectively. After microwave treatment, the granules of the three kinds of starch showed different degrees of cracks and damage, and more than half of the polarized cross disappeared. The crystal form and functional groups of mung bean starch, pea starch and indica starch after microwave treatment did not change, but the relative crystallinity of starch decreased by 7.03%, 4.94% and 5.32%, respectively. After microwave treatment, the peak viscosity, valley viscosity, retrogradation value and gelatinization enthalpy of the three kinds of starch decreased significantly (P<0.05). The retrogradation rate of mung bean starch and pea starch after microwave treatment was faster and more stable than that of indica starch. The above results showed that microwave treatment had a significant effect on the particle structure and physicochemical properties of the three starches.

     

/

返回文章
返回