• EI
  • Scopus
  • 中国科技期刊卓越行动计划项目资助期刊
  • 北大核心期刊
  • DOAJ
  • EBSCO
  • 中国核心学术期刊RCCSE A+
  • 中国精品科技期刊
  • JST China
  • FSTA
  • 中国农林核心期刊
  • 中国科技核心期刊CSTPCD
  • CA
  • WJCI
  • 食品科学与工程领域高质量科技期刊分级目录第一方阵T1
中国精品科技期刊2020
张芳荣,杜俊民,康建玲,等. 欧李复合棒对小鼠抗疲劳能力及能量代谢的影响[J]. 宝威体育平台,2024,45(24):339−345. doi: 10.13386/j.issn1002-0306.2023120121.
引用本文: 张芳荣,杜俊民,康建玲,等. 欧李复合棒对小鼠抗疲劳能力及能量代谢的影响[J]. 宝威体育平台,2024,45(24):339−345. doi: 10.13386/j.issn1002-0306.2023120121.
ZHANG Fangrong, DU Junmin, KANG Jianling, et al. Effects of Cerasus humilis Composite Rod on Anti-fatigue Capacity and Energy Metabolism in Mice[J]. Science and Technology of Food Industry, 2024, 45(24): 339−345. (in Chinese with English abstract). doi: 10.13386/j.issn1002-0306.2023120121.
Citation: ZHANG Fangrong, DU Junmin, KANG Jianling, et al. Effects of Cerasus humilis Composite Rod on Anti-fatigue Capacity and Energy Metabolism in Mice[J]. Science and Technology of Food Industry, 2024, 45(24): 339−345. (in Chinese with English abstract). doi: 10.13386/j.issn1002-0306.2023120121.

欧李复合棒对小鼠抗疲劳能力及能量代谢的影响

Effects of Cerasus humilis Composite Rod on Anti-fatigue Capacity and Energy Metabolism in Mice

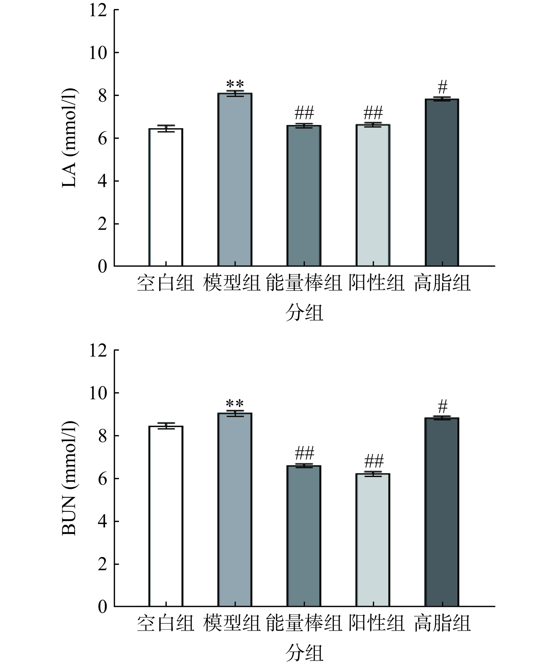
  • 摘要: 目的:探讨欧李复合棒对小鼠抗疲劳能力及能量代谢的影响。方法:选择8周龄健康雄性小鼠50只随机分为5组:空白组、模型组、欧李复合棒组、阳性组、高脂组。通过建立游泳+控制饮食的疲劳模型,连续喂养21 d后,进行爬杆和力竭游泳时间实验,检测小鼠疲劳、能量代谢及抗氧化相关指标。结果:与空白组比较,模型组小鼠的爬杆时间、游泳时间极显著下降(P<0.01),乳酸、尿素氮、肌酸激酶、丙二醛的含量极显著增高(P<0.01),血清超氧化物歧化酶、肝脏Na+-K+-ATP酶、Ga2+-Mg2+-ATP酶显著下降(P<0.05);与模型组比较,复合棒组和阳性组可以显著延长小鼠爬杆时间和游泳至力竭的时间,分别是模型组的2.1、1.8倍,可有效减少能量消耗,减少乳酸、尿素氮的积累(P<0.01,P<0.05),极显著降低血清中丙二醛、肌酸激酶的含量,增强小鼠血清SOD酶活力(P<0.01),提高肝脏中Na+-K+-ATP酶、Ga2+-Mg2+-ATP酶活性(P<0.01),提高ATP含量水平,发挥抗疲劳活性。结论:复合棒具有显著的抗疲劳能力和能量代谢能力,通过提高小鼠爬杆时间和负重力竭游泳时间改善小鼠运动能力水平,通过降低能量消耗,增加能量代谢,提高运动耐力,提高抗氧化能力,进而缓解疲劳。

     

    Abstract: Objective: To investigate the effects of Cerasus humilis composite rod on fatigue resistance and energy metabolism in mice. Methods: Fifty healthy male mice at 8 weeks of age were randomly divided into 5 groups: Control group, model group, Cerasus humilis composite rod group, positive group and high-fat group. By establishing a fatigue model of swimming+diet control, after 21 days of continuous feeding, the fatigue, energy metabolism and antioxidant related indexes of mice were detected by climbing poles and exhausting swimming time. Results: Compared with the control group, the climbing time and swimming time of the model group decreased significantly (P<0.01), the contents of lactate, blood urea nitrogen, creatine kinase and malondialdehyde were significantly increased (P<0.01), and serum superoxide dismutase, hepatic Na+-K+-ATPase and Ga2+-Mg2+-ATPase decreased significantly (P<0.05). Compared with the model group, the Cerasus humilis composite rod group and positive group could significantly prolong the time of climbing the pole and the time of swimming to exhaustion, which were 2.1 and 1.8 times that of the model group, and could effectively reduce energy consumption, reduce the accumulation of lactate and blood urea nitrogen (P<0.01, P<0.05), reduce the content of MDA and CK in serum, enhance the activity of SOD enzyme in serum (P<0.01), increase the activities of Na+-K+-ATPase and Ga2+-Mg2+-ATPase in liver (P<0.01), increase the level of ATP content and exert anti-fatigue activity. Conclusion: The composite rod has significant anti-fatigue ability and energy metabolism ability, which can improve the exercise ability level of mice by increasing the pole climbing time and weight-bearing exhaustion swimming time, and alleviate fatigue by reducing energy consumption, increasing energy metabolism, improving exercise endurance and improving antioxidant capacity.

     

/

返回文章
返回