Abstract:
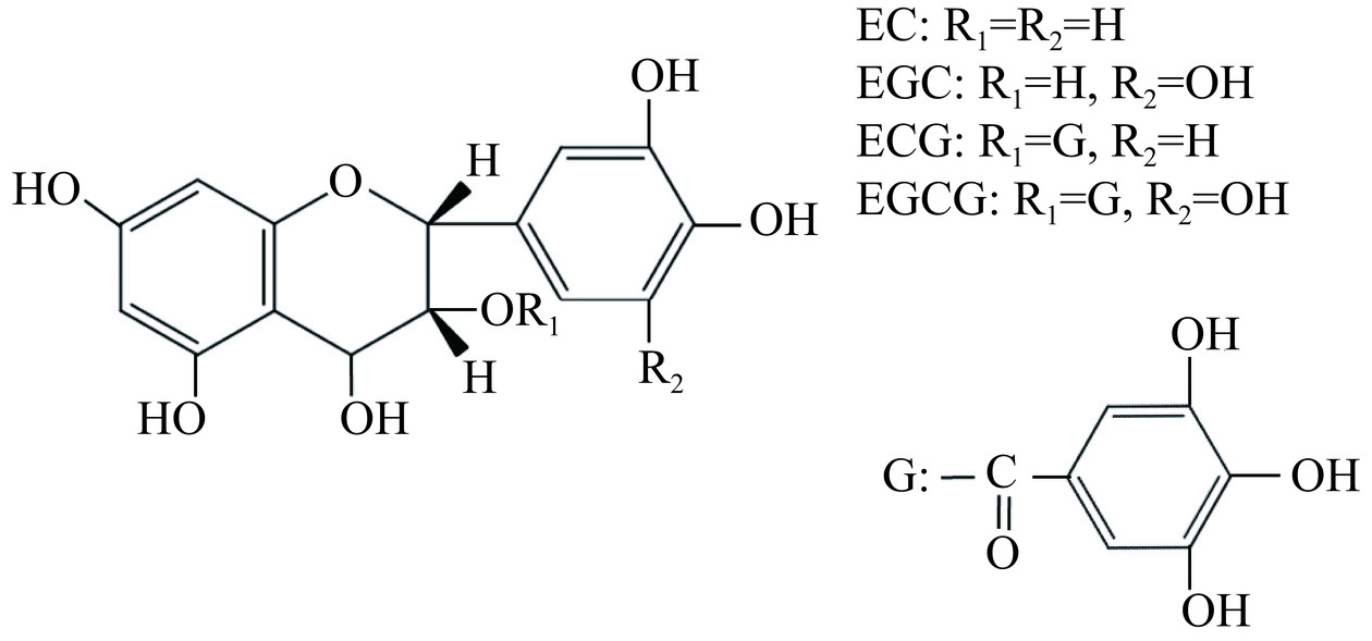
Tea polyphenols are a class of polyphenolic mixtures with phenolic hydroxyl structure in tea plants, which are the main functional component of tea, and the content is relatively high in green tea. Tea polyphenol bioactivity research gains popularity, in the functional food, drug development, preservation and preservation of preservatives and other areas with broad application prospects. Tea polyphenols have a variety of biological activities such as antioxidant, anticancer, hypolipidemic, blood sugar regulation, antibacterial, anti-radiation and so on. Their mechanism of action mainly includes regulating protein kinase B (AKT), nuclear factor-kappa B (NF-
κB), epithelial growth factor receptor (EGFR), adenylate activated protein kinase (AMPK) and other signalling pathways and related proteins. By analyzing the relevant research literature in recent years, we review the material properties, biological activities, mechanisms and applications of tea polyphenols, with a view to providing reference for the development of tea polyphenol-containing functional foods and natural medicines.