• EI
  • Scopus
  • 中国科技期刊卓越行动计划项目资助期刊
  • 北大核心期刊
  • DOAJ
  • EBSCO
  • 中国核心学术期刊RCCSE A+
  • 中国精品科技期刊
  • JST China
  • FSTA
  • 中国农林核心期刊
  • 中国科技核心期刊CSTPCD
  • CA
  • WJCI
  • 食品科学与工程领域高质量科技期刊分级目录第一方阵T1
中国精品科技期刊2020
吕俊丽,任志龙,云月英,等. 基于模糊数学法的辣木籽杂粮面包配方优化及其品质分析[J]. 宝威体育平台,2023,44(23):167−174. doi: 10.13386/j.issn1002-0306.2023010105.
引用本文: 吕俊丽,任志龙,云月英,等. 基于模糊数学法的辣木籽杂粮面包配方优化及其品质分析[J]. 宝威体育平台,2023,44(23):167−174. doi: 10.13386/j.issn1002-0306.2023010105.
LÜ Junli, REN Zhilong, YUN Yueying, et al. Formulation Optimization and Quality Analysis of Moringa Seed Multigrain Bread Based on Fuzzy Mathematics[J]. Science and Technology of Food Industry, 2023, 44(23): 167−174. (in Chinese with English abstract). doi: 10.13386/j.issn1002-0306.2023010105.
Citation: LÜ Junli, REN Zhilong, YUN Yueying, et al. Formulation Optimization and Quality Analysis of Moringa Seed Multigrain Bread Based on Fuzzy Mathematics[J]. Science and Technology of Food Industry, 2023, 44(23): 167−174. (in Chinese with English abstract). doi: 10.13386/j.issn1002-0306.2023010105.

基于模糊数学法的辣木籽杂粮面包配方优化及其品质分析

Formulation Optimization and Quality Analysis of Moringa Seed Multigrain Bread Based on Fuzzy Mathematics

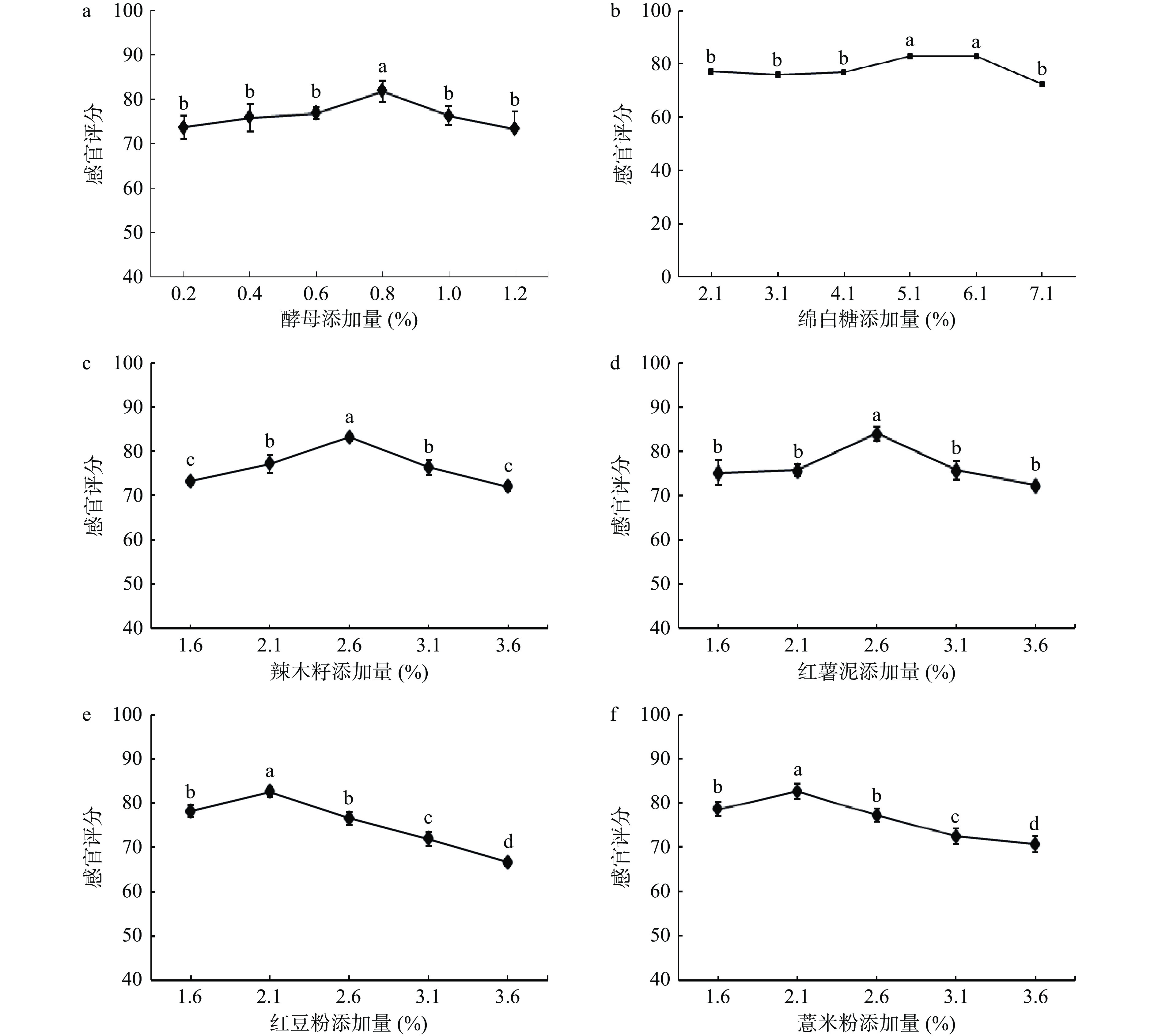
  • 摘要: 为了满足人们对营养食品的需求,本研究以面包为载体,运用模糊数学感官评价法,以感官评分为依据,通过单因素和正交试验对辣木籽杂粮面包配方进行优化,在此基础上,分析了辣木籽杂粮面包的理化特性和抑菌特性。结果显示:辣木籽杂粮面包的因素影响顺序为:辣木籽添加量>薏米添加量>红豆添加量>红薯泥的添加量,辣木籽杂粮面包最佳配方为:牛奶34%,黄油7.5%,全蛋液40%,酵母添加量为0.8%,白糖添加量5.1%,辣木籽的添加量为2.6%,红薯泥的添加量为2.1%,红豆的添加量为1.6%,薏米的添加量为2.1%。此配方下面包的模糊数学感官评分最高(86.35分),此时面包味道浓郁,松软适口,过氧化值、酸价、菌落总数均符合国家标准,蛋白质含量比普通面包高5.6 g/100 g。贮存5 d后,辣木籽杂粮面包酸价增加幅度(25%)小于普通面包(40%),过氧化值增加幅度(20%)也低于普通面包(73.7%),此时,普通面包菌落总数比辣木籽杂粮面包多3倍,表明辣木籽杂粮面包具有一定的延缓酸败和抑菌效果,本研究结果为辣木籽杂粮产品的开发提供有益参考。

     

    Abstract: In order to meet people's demand for nutritious food, bread was taken as a carrier, and fuzzy mathematics and sensory evaluation method were adopted. Based on sensory score, the recipe of Moringa seed multigrain bread was optimized by single factor and orthogonal experiment. On this basis, the physicochemical and bacteriostatic characteristics of Moringa seed multigrain bread were analyzed. The results showed that the order of Moringa seed multigrain bread was as follows: Moringa seed supplemental level>Job's barley supplemental level>red bean supplemental level>sweet potato supplemental level. The optimal formula of moringa seed multigrain bread was as follows: Milk content 34%, butter content 7.5%, whole egg content 40%, yeast content 0.8%, white sugar content 5.1%, Moringa seed content 2.6%, sweet potato content 2.1%, red bean content 1.6%, and Job's barley content 2.1%. The fuzzy mathematical sensory score of the bread under this formula was the highest (86.35), and the bread was full flavour, soft and palpable. The peroxide value, acid value and total number of colonies were all in line with national standards, and the protein content was 5.6 g/100 g higher than that of ordinary bread. After storage for 5 days, the increase of acid value of Moringa seed multigrain bread (25%) was less than that of regular bread (40%), and the increase of peroxide value (20%) was also lower than that of regular bread (73.7%). Meanwhile, the number of bacterial colonies in regular bread was 3 times higher than that in Moringa seed multigrain bread, which indicated that Moringa seed multigrain bread had certain rancidity delay and antibacterial effect. The results of this study could provide useful reference for the development of Moringa seed multigrain products.

     

/

返回文章
返回