• EI
  • Scopus
  • 中国科技期刊卓越行动计划项目资助期刊
  • 北大核心期刊
  • DOAJ
  • EBSCO
  • 中国核心学术期刊RCCSE A+
  • 中国精品科技期刊
  • JST China
  • FSTA
  • 中国农林核心期刊
  • 中国科技核心期刊CSTPCD
  • CA
  • WJCI
  • 食品科学与工程领域高质量科技期刊分级目录第一方阵T1
中国精品科技期刊2020
李秋月,袁铭阳,吴丽娜,等. 三白草酮对STZ糖尿病小鼠胰岛β细胞凋亡与氧化应激的保护作用[J]. 宝威体育平台,2023,44(16):420−426. doi: 10.13386/j.issn1002-0306.2022120010.
引用本文: 李秋月,袁铭阳,吴丽娜,等. 三白草酮对STZ糖尿病小鼠胰岛β细胞凋亡与氧化应激的保护作用[J]. 宝威体育平台,2023,44(16):420−426. doi: 10.13386/j.issn1002-0306.2022120010.
LI Qiuyue, YUAN Mingyang, WU Lina, et al. Protective Effect of Sauchinone on Apoptosis and Oxidative Stress of Islet β Cells in STZ Induced Diabetic Mice[J]. Science and Technology of Food Industry, 2023, 44(16): 420−426. (in Chinese with English abstract). doi: 10.13386/j.issn1002-0306.2022120010.
Citation: LI Qiuyue, YUAN Mingyang, WU Lina, et al. Protective Effect of Sauchinone on Apoptosis and Oxidative Stress of Islet β Cells in STZ Induced Diabetic Mice[J]. Science and Technology of Food Industry, 2023, 44(16): 420−426. (in Chinese with English abstract). doi: 10.13386/j.issn1002-0306.2022120010.

三白草酮对STZ糖尿病小鼠胰岛β细胞凋亡与氧化应激的保护作用

Protective Effect of Sauchinone on Apoptosis and Oxidative Stress of Islet β Cells in STZ Induced Diabetic Mice

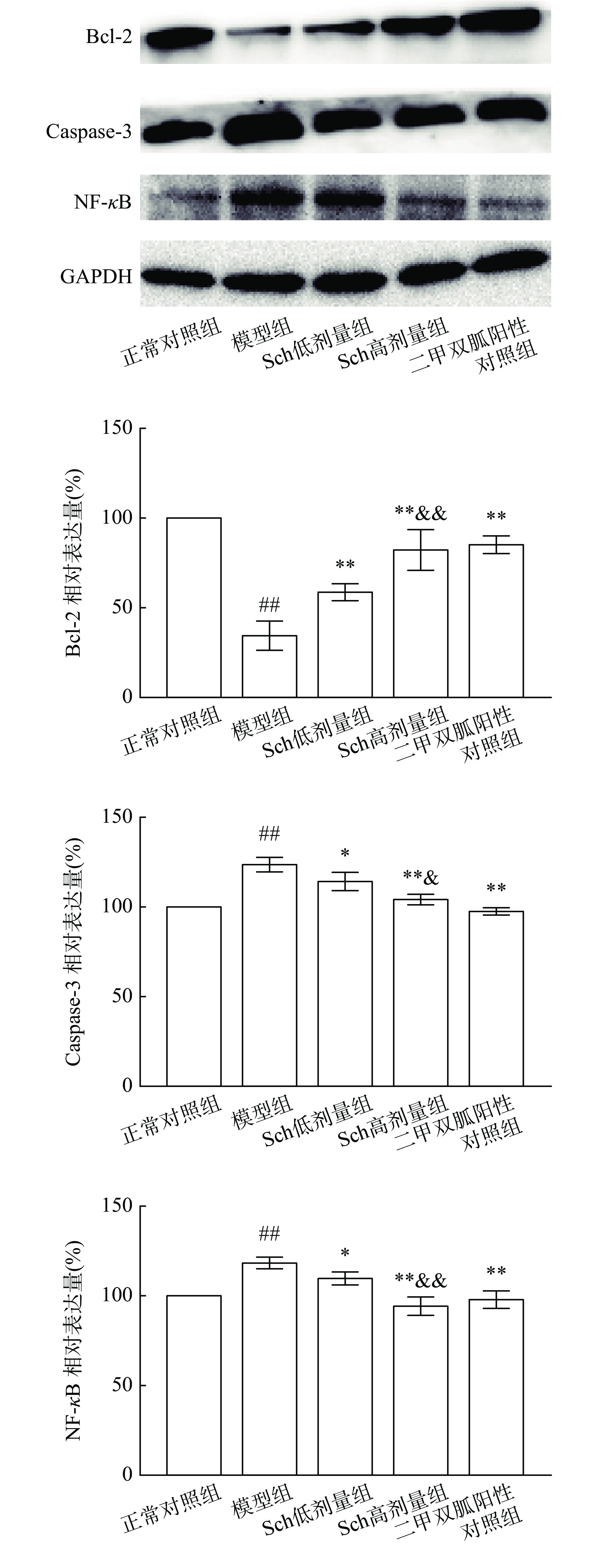
  • 摘要: 目的:探讨三白草酮(Sauchinone,Sch)对链脲佐菌素(Streptozocin,STZ)糖尿病小鼠胰岛β细胞凋亡及氧化应激的保护作用及其机制。方法:将雄性BALB/C小鼠50只,随机取出8只为正常对照组,其余小鼠用40 mg/kg STZ腹腔注射造模。测空腹血糖确认造模成功的32只小鼠,平均分为模型组、Sch低剂量组、Sch高剂量组和二甲双胍阳性对照组。分组后Sch低剂量组和Sch高剂量组分别灌胃Sch 10和30 mg/kg/次,二甲双胍阳性对照组灌胃100 mg/kg/次,每日一次,连续给药4周。正常对照组和模型组灌胃相同体积的生理盐水。Sch给药过程中每周测定体重,末次给药12 h后测定空腹血糖、血清胰岛素浓度、胰岛素抵抗指数(Homeostasis model assessment insulin resistance,HOMA-IR)、血清TNF-α,IL-6含量;检测胰腺组织中丙二醛(MDA)含量、超氧化物歧化酶(SOD)和谷胱甘肽过氧化物酶(GSH-Px)活性;Western blot法检测胰腺组织中Bcl-2、Caspase-3和NF-κB蛋白的表达。结果:与模型组比较,Sch高剂量组在给药第3周和第4周体重显著增加(P<0.05),Sch低剂量和高剂量组小鼠空腹血糖显著降低(P<0.05),血清胰岛素浓度显著升高,并有剂量依赖性(P<0.05),且胰岛素抵抗指数显著降低(P<0.05);血清炎症因子TNF-α,IL-6含量显著下降(P<0.05);胰腺组织中MDA降低,而SOD和GSH-Px活性显著升高,且有剂量依赖性(P<0.05)。胰腺组织中Bcl-2蛋白表达显著增多,Caspase-3和NF-κB蛋白表达显著下调,并且有剂量依赖性(P<0.05)。结论:三白草酮具有保护糖尿病小鼠胰岛β细胞的作用,其机制可能通过抗炎症、抗氧化应激以及抑制凋亡所介导。

     

    Abstract: Objective: To investigate the protective effect of sauchinone (Sch) on apoptosis and oxidative stress of pancreatic β-cells in Streptozocin (STZ)-induced diabetic mice and its relevant mechanisms. Methods: Among 50 male BALB/C mice, 8 mice were randomly selected and grouped to be the normal control group, and the other mice were intraperitoneally received 40 mg/kg STZ. After the confirmation of the onset of diabetes mellitus in 32 mice by measuring the fasting blood glucose level (FBGL), the mice were evenly divided into the model group, low-dose Sch group, high-dose Sch group and metformin-treated positive control group. And the mice in low-dose Sch group and high-dose Sch group were respectively gavaged with 10 or 30 mg/kg Sch, and the mice in metformin-treated positive control group were gavaged with 100 mg/kg metformin once a day for 4 weeks, while the mice in the normal control group and the model group were gavaged with the same volume of saline. During the treatment period, the body weight of each mouse was weekly checked, and at 12 h after the last dosing, the FBGL, the serum insulin concentration, the homeostasis model assessment insulin resistance (HOMA-IR), the serum TNF-α and IL-6 levels were determined. The malondialdehyde (MDA) concentration, the superoxide dismutase (SOD) and glutathione peroxidase (GSH-Px) activities in pancreatic tissues were measured. Moreover, the pancreatic protein expressions of Bcl-2, Caspase-3 and NF-κB were detected by Western blot. Results: Compared with the model group, the body weights in the high-dose Sch groups checked on the 3rd and 4th week were significantly increased (P<0.05). The FBGL and the serum insulin concentration in Sch-treated groups rose significantly in a dose-dependent manner (P<0.05). The HOMA-IR was significantly decreased (P<0.05). The levels of TNF-α and IL-6 in serum were significantly decreased (P<0.05). The MDA concentrations in the Sch-treated pancreatic tissues decreased, while the SOD and GSH-Px activities increased significantly in a dose-dependent manner (P<0.05). Additionally, the Sch treatments significantly raised the pancreatic Bcl-2 protein expression while lowed the pancreatic Caspase-3 and NF-κB protein expressions in a dose-dependent manner compared with the model group (P<0.05). Conclusions: Sch protects diabetic mice islet β cells, and the mechanism may be mediated by its anti-inflammation and anti-oxidative stress as well as anti-apoptosis actions.

     

/

返回文章
返回