• EI
  • Scopus
  • 中国科技期刊卓越行动计划项目资助期刊
  • 北大核心期刊
  • DOAJ
  • EBSCO
  • 中国核心学术期刊RCCSE A+
  • 中国精品科技期刊
  • JST China
  • FSTA
  • 中国农林核心期刊
  • 中国科技核心期刊CSTPCD
  • CA
  • WJCI
  • 食品科学与工程领域高质量科技期刊分级目录第一方阵T1
中国精品科技期刊2020
孙雪缘,王玉,何星瑶,等. 林蛙油对雷公藤所致大鼠卵泡发育障碍的影响[J]. 宝威体育平台,2023,44(13):398−406. doi: 10.13386/j.issn1002-0306.2022090023.
引用本文: 孙雪缘,王玉,何星瑶,等. 林蛙油对雷公藤所致大鼠卵泡发育障碍的影响[J]. 宝威体育平台,2023,44(13):398−406. doi: 10.13386/j.issn1002-0306.2022090023.
SUN Xueyuan, WANG Yu, HE Xingyao, et al. Effects of Oviductus Ranae on Follicular Developmental Dysfunction by Tripterygium in Rats[J]. Science and Technology of Food Industry, 2023, 44(13): 398−406. (in Chinese with English abstract). doi: 10.13386/j.issn1002-0306.2022090023.
Citation: SUN Xueyuan, WANG Yu, HE Xingyao, et al. Effects of Oviductus Ranae on Follicular Developmental Dysfunction by Tripterygium in Rats[J]. Science and Technology of Food Industry, 2023, 44(13): 398−406. (in Chinese with English abstract). doi: 10.13386/j.issn1002-0306.2022090023.

林蛙油对雷公藤所致大鼠卵泡发育障碍的影响

Effects of Oviductus Ranae on Follicular Developmental Dysfunction by Tripterygium in Rats

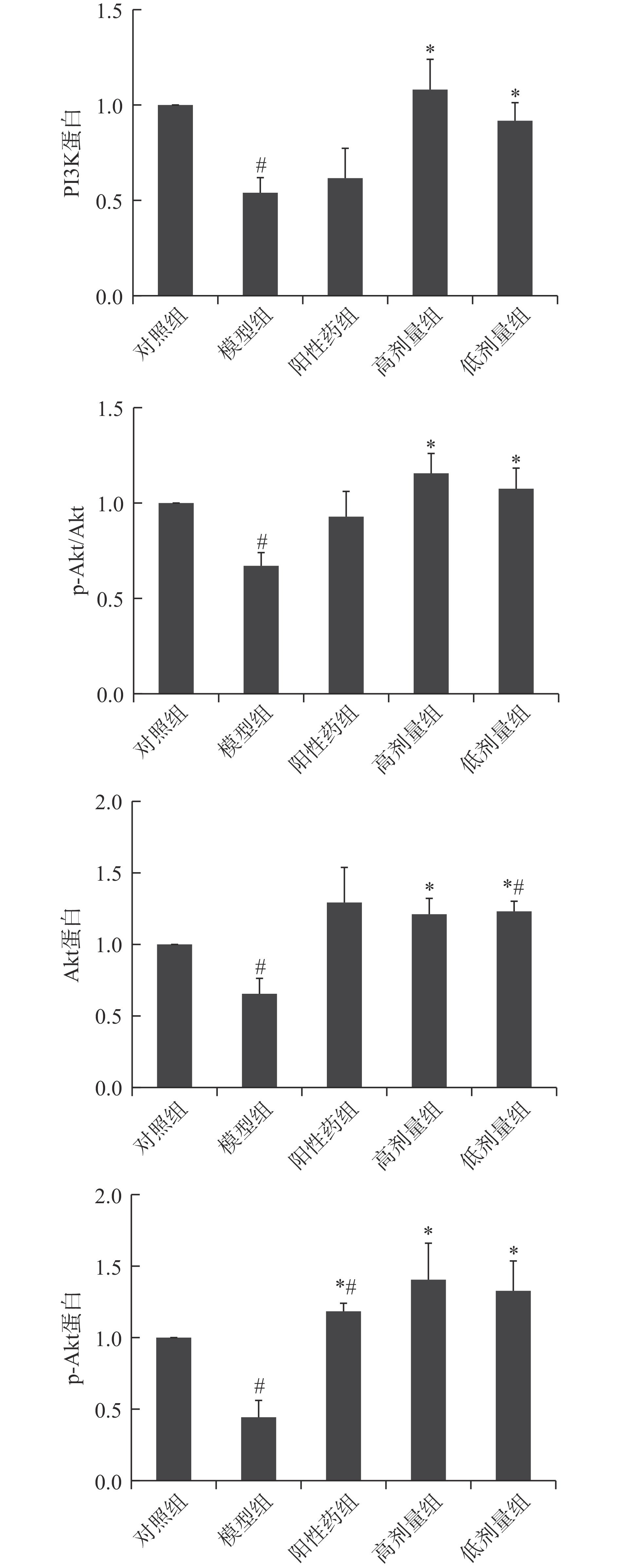
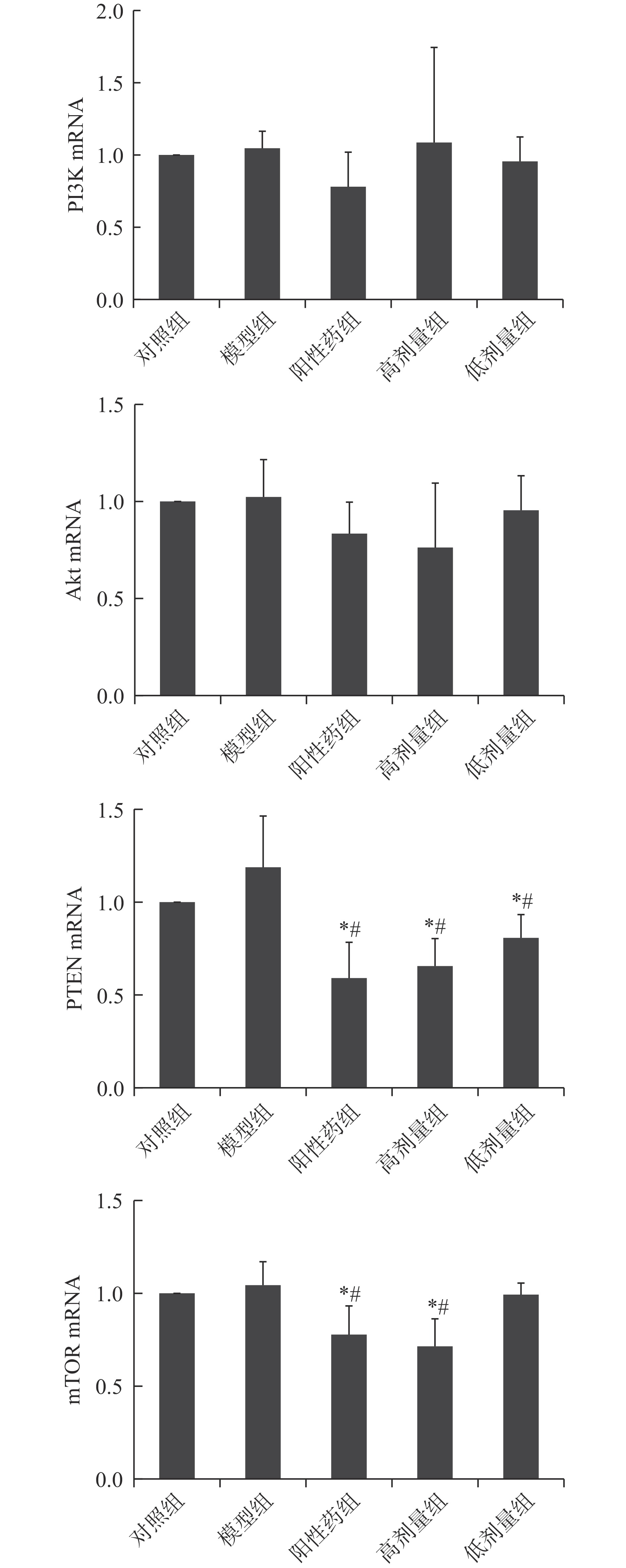
  • 摘要: 目的:研究林蛙油对卵泡发育障碍模型大鼠卵巢中的卵泡和磷脂酰肌醇受体3-酪氨酸激酶(phosphatidylinositol 3-kinase, PI3K)/卵蛋白激酶受体B(protein kinase B, Akt)的信号通路的影响。方法:筛选后的雌性WISTAR大鼠40只,随机分为对照组、模型组、阳性药组和林蛙油高、低剂量组;除对照组外其余各组大鼠每日灌胃雷公藤多苷溶液(40 mg/kg),阳性药组大鼠灌胃戊酸雌二醇溶液(0.1 mg/kg)和醋酸甲地孕酮溶液(0.8 mg/kg),林蛙油高、低剂量组大鼠分别灌胃林蛙油溶液(400、200 mg/kg)。第8周测定大鼠血清雌二醇(estradiol, E2)、孕酮(progesterone, P)、促黄体生成素(Luteinizing hormone, LH)、促卵泡生成素(Follicle-stimulating hormone, FSH)和睾酮(testosterone, T)含量;摘取卵巢和子宫称量记录,计算器官指数;一侧卵巢做HE染色和TUNEL染色计算各级卵泡数量。另外一侧卵巢测定其中PI3K、AKT、人第10号染色体缺失的磷酸酶(phosphatase and tensin homolog deleted on chromosome ten, PTEN)和哺乳动物雷帕霉素靶蛋白(mammalian target of rapamycin, mTOR)的mRNA相对表达量以及PI3K、磷酸化蛋白激酶B(phosphorylated protein kinase B, p-Akt)的蛋白含量。结果:大鼠卵泡发育障碍模型成功建立。与模型组大鼠相比,林蛙油高剂量组大鼠子宫湿重和子宫指数显著升高(P<0.05);林蛙油高、低剂量组大鼠发情周期显著缩短(P<0.05),次级卵泡数量显著升高(P<0.05),卵泡闭锁率显著降低(P<0.05),血清FSH含量显著减少(P<0.05)、T和E2含量显著升高(P<0.05),PI3K蛋白含量显著增多(P<0.05),Akt蛋白磷酸化水平显著提高(P<0.05),PTEN mRNA相对表达量显著减少(P<0.05);林蛙油高剂量组大鼠卵巢中mTOR mRNA相对表达量显著低于模型组大鼠(P<0.05)。结论:林蛙油对雷公藤多苷所致大鼠卵泡发育障碍有明显的改善作用,林蛙油可以上调PI3K/Akt信号通路促进卵泡发育障碍的大鼠卵泡的生长和发育。

     

    Abstract: Objective: To study the effect of oviductus ranae (OR) on follicle development and phosphatidylinositol 3-kinase (PI3K)/protein kinase B (Akt) signaling pathway in the ovaries of follicular developmental dysfunction rats. Methods: Randomly divide the screened 40 female WISTAR rats into control group (CG), model group (MG), positive qroup (PG), OR high-dose (ORHG) and low-dose group (ORLG). Except the CG rats, the rats in other groups were treated with triptolide solution (40 mg/kg) once a day. The PG were treated with estradiol valerate solution (0.1 mg/kg) and megestrol acetate solution (0.8 mg/kg). The ORHG and ORLG were treated with OR solution (400、200 mg/kg). The rat serum was collected to determine the contents of estradiol (E2), progesterone (P), Luteinizing hormone (LH), Follicle-stimulating hormone (FSH) and testosterone (T) at 8th week . The ovaries and uterus of rats were harvested and weighed, and the organ index was calculated. HE staining and TUNEL staining were performed on one ovary to calculate the number of follicles at all levels. The relative expression of PI3K, AKT, phosphatase and tensin homolog deleted on chromosome ten (PTEN) mammalian target of rapamycin (mTOR) mRNA and the contents of PI3K, Akt, phosphorylated protein kinase B(p-Akt) protein in the other ovary was measured. Result: The results indicated that the follicular development dysfunction model was successfully established. Compared with the MG, the wet weight and index of uterus of the ORHG was increased significantly (P<0.05). The estrous cycle of rats in the ORHG and ORLG was significantly shortened (P<0.05), the number of secondary follicles was significantly increased (P<0.05), the follicular atresia rate was significantly reduced (P<0.05), the serum FSH and LH content was decreased significantly (P<0.05), the serum T and E2 content was increased significantly (P<0.05), PI3K protein content was increased significantly (P<0.05), Akt protein phosphorylation level was increased significantly (P<0.05), the relative expression of PTEN mRNA was decreased significantly (P<0.05). The relative expression of mTOR mRNA in ORHG was significantly lower than that of MG (P<0.05). Conclusion: OR can obviously improve the follicular development dysfunction of rats induced by triptolide, and it can up-regulate PI3K/Akt signal pathway to promote the growth and development of follicles in rats with follicular development dysfunction.

     

/

返回文章
返回