• EI
  • Scopus
  • 中国科技期刊卓越行动计划项目资助期刊
  • 北大核心期刊
  • DOAJ
  • EBSCO
  • 中国核心学术期刊RCCSE A+
  • 中国精品科技期刊
  • JST China
  • FSTA
  • 中国农林核心期刊
  • 中国科技核心期刊CSTPCD
  • CA
  • WJCI
  • 食品科学与工程领域高质量科技期刊分级目录第一方阵T1
中国精品科技期刊2020
刘玉杰,季嘉城,张硕,等. 刺梨中鞣花酸的分离鉴定及提取工艺的优化[J]. 宝威体育平台,2023,44(8):212−220. doi: 10.13386/j.issn1002-0306.2022060306.
引用本文: 刘玉杰,季嘉城,张硕,等. 刺梨中鞣花酸的分离鉴定及提取工艺的优化[J]. 宝威体育平台,2023,44(8):212−220. doi: 10.13386/j.issn1002-0306.2022060306.
LIU Yujie, JI Jiacheng, ZHANG Shuo, et al. Isolation and Identification of Ellagic Acid from Rosa roxburghii Tratt and Its Optimization of Extraction Process[J]. Science and Technology of Food Industry, 2023, 44(8): 212−220. (in Chinese with English abstract). doi: 10.13386/j.issn1002-0306.2022060306.
Citation: LIU Yujie, JI Jiacheng, ZHANG Shuo, et al. Isolation and Identification of Ellagic Acid from Rosa roxburghii Tratt and Its Optimization of Extraction Process[J]. Science and Technology of Food Industry, 2023, 44(8): 212−220. (in Chinese with English abstract). doi: 10.13386/j.issn1002-0306.2022060306.

刺梨中鞣花酸的分离鉴定及提取工艺的优化

Isolation and Identification of Ellagic Acid from Rosa roxburghii Tratt and Its Optimization of Extraction Process

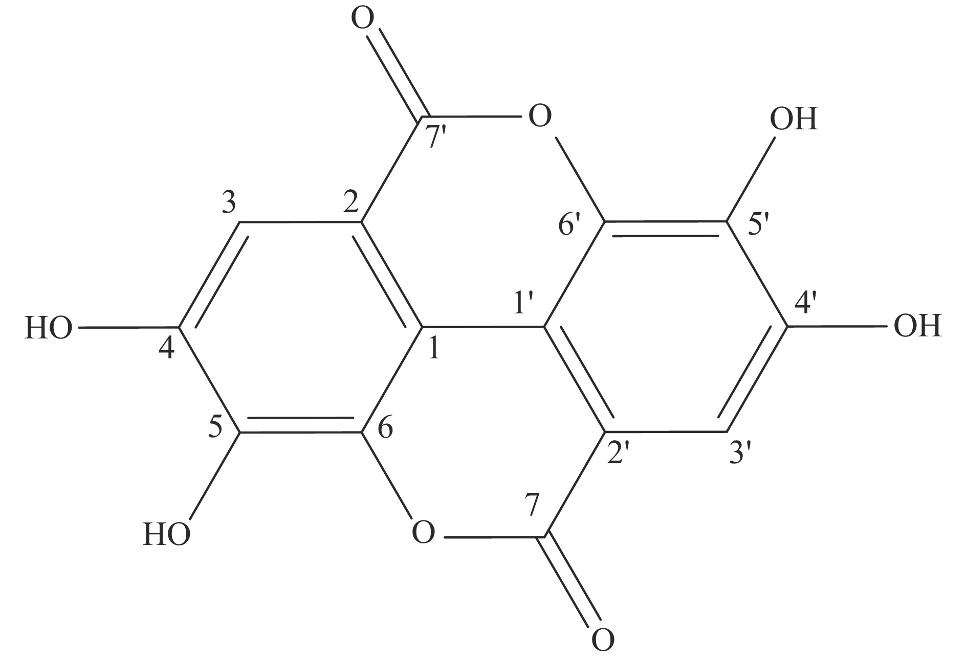
  • 摘要: 目的:本研究旨在建立刺梨中鞣花酸的分离纯化方法,并对提取鞣花酸的酸水解法进行工艺优化。方法:以刺梨干果为原料,通过超声辅助提取法提取单宁酸,加酸进行水解制得粗鞣花酸,并通过甲醇重结晶进行纯化,采用高效液相色谱测定其纯度,及核磁共振波谱法(NMR)、红外光谱法(IR)、质谱法(MS)、高效液相色谱法(HPLC)、紫外光谱法(UV)对提取得到的鞣花酸进行结构确证,另外,以得率为指标,以酸浓度、提取温度、提取时间、液料比为自变量,在单因素实验的基础上,通过Box-Benhnken中心组合设计和响应面分析法确定刺梨鞣花酸的酸水解工艺条件。结果:从刺梨中提取得到了鞣花酸提取物,通过HPLC分析测定其纯度达到92%,鞣花酸提取物的最大吸收波长254 nm,分子离子峰m/z 301.00,红外吸收各波数与标准品一致,并利用1H-NMR,13C-NMR确定了其结构。通过响应面法得到了酸水解法制取鞣花酸的最优工艺:酸浓度5%,提取温度127 ℃,液料比为8:1 mL/g,提取时间9.8 h,在此条件下刺梨鞣花酸的得率为30.2%±2.3%(与预测值相比P>0.05)。结论:本研究建立了一种刺梨中鞣花酸简便高效的纯化方法并对其进行了结构确证,并获得了酸水解法制取鞣花酸的最优工艺,为刺梨资源的开发利用提供了参考。

     

    Abstract: Objective: The purpose of this study was to establish a method for the isolation and purification of ellagic acid from Rosa roxburghii Tratt and to investigate the optimal acidification process condition for extraction of ellagic acid from Rosa roxburghii Tratt. Methods: Rosa roxburghii Tratt dried fruit was used as material, ellagic acid was obtained by acid hydrolyzed, and it was purified by methanol recrystallization. Its purity was determined by high performance liquid chromatography (HPLC), the structure of ellagic acid sample was confirmed by Nuclear magnetic resonance spectroscopy (NMR), infrared spectroscopy (IR), mass spectrometry (MS), high performance liquid chromatography (HPLC), ultraviolet spectroscopy (UV). In addition, with ellagic acid extraction yield as an indicator, acid concentration, extraction temperature, extraction time and liquid ratio as independent variables, based on the single-factor tests, a Box-Benhnken central composite and response surface methodology was designed to explore the optimum extraction conditions. Results: The ellagic acid extract was obtained from Rosa roxburghii Tratt, and its purification was 92% analyzed by HPLC, the maximum absorption wavelength of ellagic acid extract was 254 nm, the molecular ion peak m/z was 301.00, and the infrared absorption wavenumber was consistent with the standard, and its structure was determined by 1H-NMR and 13C-NMR, and the optimal extraction parameters of ellagic acid was obtained by response surface method: Acid concentration 5%, extraction temperature 127 ℃, liquid ratio 8:1 mL/g, extraction time 9.8 h. Under this condition, the highest yield of ellagic acid could reach 30.2%±2.3% (compared to predicted value P>0.05). Conclusion: In this study, a simple and efficient purification method of ellagic acid from Rosa roxburghii Tratt was established and its structure was confirmed, and the optimal process for the preparation of ellagic acid by acid hydrolysis was obtained, which would provide a reference for the development and utilization of Rosa roxburghii Tratt resources.

     

/

返回文章
返回