Abstract:
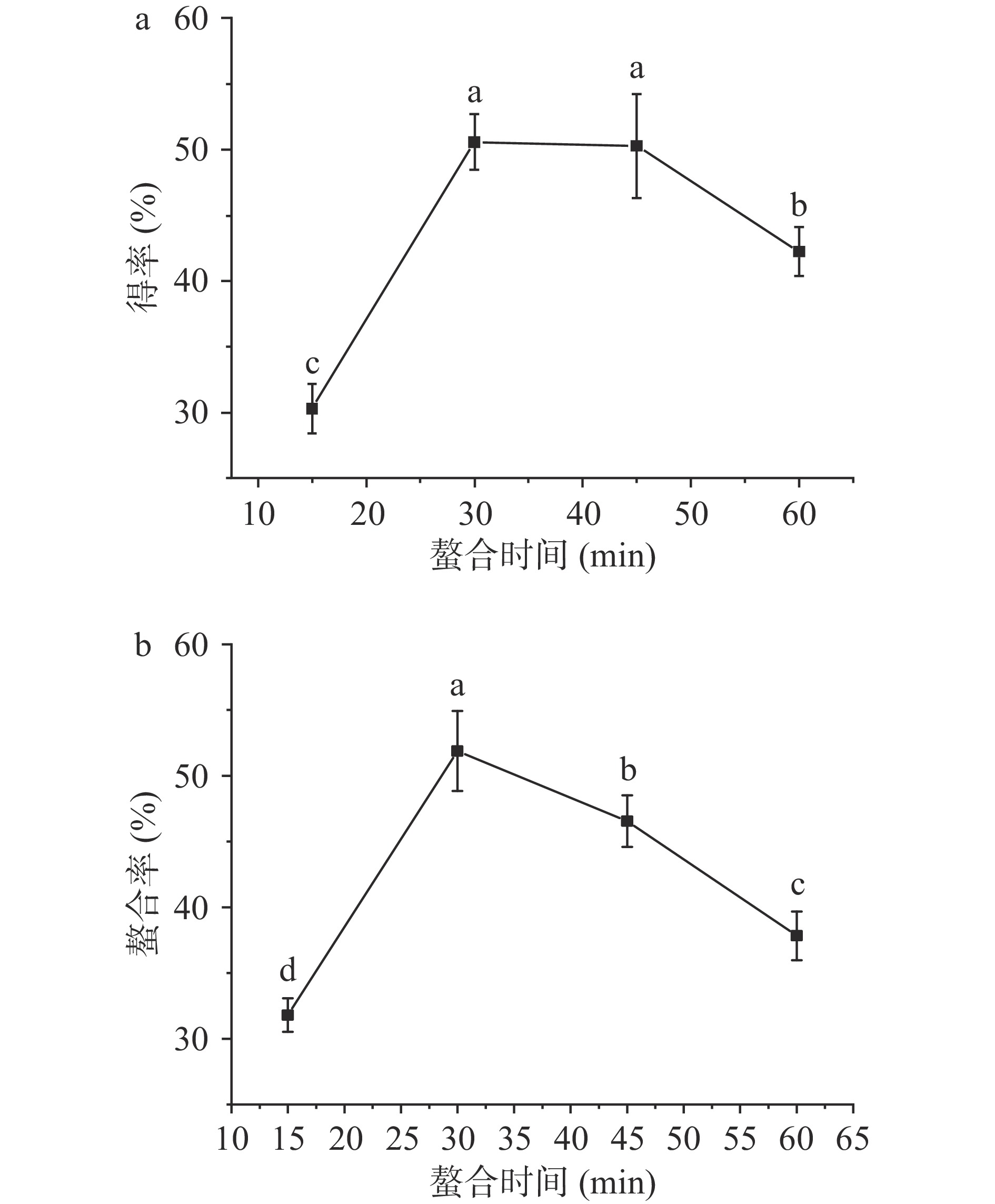
Corn oligopeptides and ferrous chloride were used as raw materials to prepare iron (II)-chelating wheat oligopeptides. The chelating effect was evaluated by yield and chelating rate, and the best process was studied by single-factor, response surface centered design and verification experiments. The amino acid composition of iron(II)-chelating corn oligopeptides was determined by high performance liquid chromatography (HPLC), the structural characteristics of corn oligopeptides before and after chelating were analyzed by Fourier transform infrared radiation (FT-IR) and scanning electron microscope (SEM). The results showed that the optimum preparation conditions of iron (II)-chelating corn oligopeptides were as follows: Mass ratio between corn oligopeptides and ferrous chloride 5:1, pH7.0, chelating time 35 min, and chelating temperature 65 ℃. Under the conditions, the yield was 46.59%±1.69% and the iron (II) chelating rate was 51.75%±2.10%. The content of essential amino acids in iron(II)-chelating corn oligopeptides accounted for 25.58%, and the components with relative molecular weight less than 1000 u accounted for as high as 89.77%. FTIR analysis results showed that iron (II) formed coordination bonds with nitrogen and oxygen atoms in the terminal carboxyl or amino group of the corn oligopeptides to form iron (II)-chelating corn oligopeptides. SEM results showed that after chelating the molecules aggregated and the spherical structure disappeared, indicating that a new type of iron(II)-chelating corn oligopeptides was successfully formed.