• EI
  • Scopus
  • 中国科技期刊卓越行动计划项目资助期刊
  • 北大核心期刊
  • DOAJ
  • EBSCO
  • 中国核心学术期刊RCCSE A+
  • 中国精品科技期刊
  • JST China
  • FSTA
  • 中国农林核心期刊
  • 中国科技核心期刊CSTPCD
  • CA
  • WJCI
  • 食品科学与工程领域高质量科技期刊分级目录第一方阵T1
中国精品科技期刊2020
张军,谷福蝶,刘艳,等. 益生菌发酵刺麒麟菜制备硫酸多糖工艺优化及性质分析[J]. 宝威体育平台,2022,43(11):175−184. doi: 10.13386/j.issn1002-0306.2021090160.
引用本文: 张军,谷福蝶,刘艳,等. 益生菌发酵刺麒麟菜制备硫酸多糖工艺优化及性质分析[J]. 宝威体育平台,2022,43(11):175−184. doi: 10.13386/j.issn1002-0306.2021090160.
ZHANG Jun, GU Fudie, LIU Yan, et al. Optimization Preparation and Property Analysis of Sulfate Polysaccharide from Eucheuma spinosum by Probiotic Fermentation[J]. Science and Technology of Food Industry, 2022, 43(11): 175−184. (in Chinese with English abstract). doi: 10.13386/j.issn1002-0306.2021090160.
Citation: ZHANG Jun, GU Fudie, LIU Yan, et al. Optimization Preparation and Property Analysis of Sulfate Polysaccharide from Eucheuma spinosum by Probiotic Fermentation[J]. Science and Technology of Food Industry, 2022, 43(11): 175−184. (in Chinese with English abstract). doi: 10.13386/j.issn1002-0306.2021090160.

益生菌发酵刺麒麟菜制备硫酸多糖工艺优化及性质分析

Optimization Preparation and Property Analysis of Sulfate Polysaccharide from Eucheuma spinosum by Probiotic Fermentation

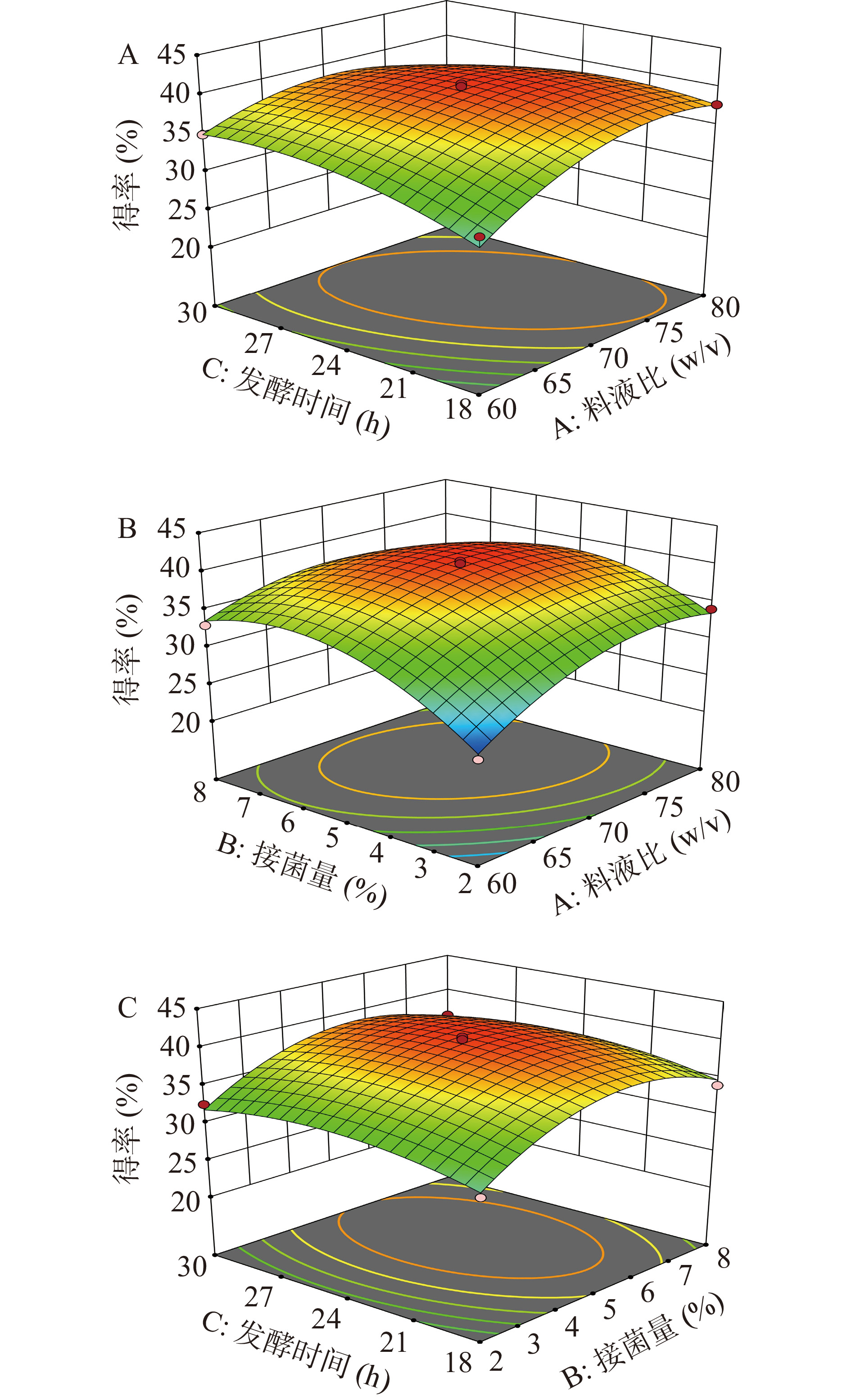
  • 摘要: 为制备粘度低、溶解性高、生物利用度高的刺麒麟菜硫酸多糖,利用发酵食品中常见的益生菌鼠李糖乳杆菌(Lactobacillus rhamnosus)发酵刺麒麟菜制备发酵刺麒麟菜硫酸多糖(Fermented Eucheuma spinosum sulfate polysaccharide,F-ESP),借助响应面法以粗多糖得率为指标进一步优化制备工艺;以冷冻刺麒麟菜硫酸多糖(Low temperature freeze-thaw Eucheuma spinosum sulfate polysaccharide,L-ESP)为对照,经DEAE-52柱层析纯化后测定总糖、还原糖、硫酸根等物质的含量以及单糖组成,分析F-ESP的化学成分;测定粘度、溶解度、分子量及微观形貌,表征F-ESP的物理性质;利用红外光谱解析F-ESP的官能团结构;通过大鼠嗜碱性粒细胞脱颗粒实验评价F-ESP的抗过敏活性。当料液比为1:70,接菌量为5%,发酵时间为24 h时,F-ESP得率最高(41.70%±2.00%);经纯化的F-ESP-3单糖结构主要由半乳糖构成,总糖含量为97.77%±1.10%、硫酸根含量为28.40%±1.40%,与L-ESP-3相比,F-ESP-3还原糖含量(7.87%±0.09%)极显著提高(P<0.01)、分子量(33.58 kD)极显著降低(P<0.01)、比浓粘度(0.01±0.002 dL/g)极显著降低(P<0.01)、溶解度(89.33%±3.10%)极显著提高(P<0.01)、在扫描电镜下观察发现L-ESP-3为光滑致密的片状,F-ESP-3为粗糙的不规则颗粒状;发酵制备的F-ESP-3糖链结构并未发生改变,是一种含3,6内醚半乳糖残基的α-硫酸吡喃糖,且能够通过抑制β-氨基己糖苷酶释放从而抑制嗜碱性粒细胞的激活。综上所述,益生菌发酵可以作为刺麒麟菜硫酸多糖的制备方式,并通过改变其物理性质显著提高抗过敏活性。这一结果为刺麒麟菜多糖工业化生产和开发利用提供了数据支撑和理论依据。

     

    Abstract: To prepare Eucheuma spinosum sulfated polysaccharides with low viscosity, high solubility and high bioavailability, fermented Eucheuma spinosum sulfate polysaccharides (F-ESP) was prepared by fermenting Lactobacillus rhamnoides, a common probiotic bacteria in fermented food, response surface methodology was used to optimize the preparation process with the yield of crude polysaccharide as the index. Low temperature freeze-thaw Eucheuma spinosum sulfate polysaccharide (L-ESP) was used as control. After purification by DEAE-52 column chromatography, the contents of total sugar, reducing sugar, sulfate and other substances and monosaccharide composition were determined, and the chemical composition of F-ESP was analyzed. The physical properties of F-ESP were characterized by viscosity, solubility, molecular weight and microstructure. The functional group structure of F-ESP was analyzed by infrared spectroscopy. The antiallergic activity of F-ESP was evaluated by Rat Basophilic Leukemia-2H3 (RBL-2H3) degranulation assay. When the ratio of material to liquid was 1:70, the inoculation amount was 5%, and the fermentation time was 24 h, the yield of crude polysaccharide was the highest (41.70%±2.00%). The purified F-ESP-3 monosaccharide structure was mainly composed of galactose, and the total sugar content was 97.77%±1.10%. The sulfate content was 28.40%±1.40%. Compared with L-ESP-3, the reducing sugar content of F-ESP-3 (7.87%±0.09%) was significantly higher, the molecular weight (33.58 kD) was significantly decreased (P<0.01), the specific viscosity (0.01±0.002 dL/g) was significantly lower (P<0.01), and the solubility (89.33%±3.10%) was significantly higher (P<0.0l). Under scanning electron microscope, L-ESP-3 was smooth and dense flake, and F-ESP-3 was rough and irregular granule. The sugar chain structure of F-ESP-3 prepared by fermentation did not change. It was a kind of α-pyranose sulfate containing 3-methylether-galactose residue, and inhibit the activation of basophils by inhibit the release of β-hexosaminidase. To sum up, probiotic fermentation could be used as a way to prepare Eucheuma spinosum sulfated polysaccharides, and its anti-allergic activity could be significantly improved by changing its physical properties. This result provides data support and theoretical basis for the industrial production, development and utilization of Eucheuma spinosum polysaccharides.

     

/

返回文章
返回