• EI
  • Scopus
  • 中国科技期刊卓越行动计划项目资助期刊
  • 北大核心期刊
  • DOAJ
  • EBSCO
  • 中国核心学术期刊RCCSE A+
  • 中国精品科技期刊
  • JST China
  • FSTA
  • 中国农林核心期刊
  • 中国科技核心期刊CSTPCD
  • CA
  • WJCI
  • 食品科学与工程领域高质量科技期刊分级目录第一方阵T1
中国精品科技期刊2020
肖梦圆,武瑞赟,李平兰. 软骨素裂解酶的研究进展[J]. 宝威体育平台,2022,43(15):409−417. doi: 10.13386/j.issn1002-0306.2021070372.
引用本文: 肖梦圆,武瑞赟,李平兰. 软骨素裂解酶的研究进展[J]. 宝威体育平台,2022,43(15):409−417. doi: 10.13386/j.issn1002-0306.2021070372.
XIAO Mengyuan, WU Ruiyun, LI Pinglan. Research Progress in Chondroitinase[J]. Science and Technology of Food Industry, 2022, 43(15): 409−417. (in Chinese with English abstract). doi: 10.13386/j.issn1002-0306.2021070372.
Citation: XIAO Mengyuan, WU Ruiyun, LI Pinglan. Research Progress in Chondroitinase[J]. Science and Technology of Food Industry, 2022, 43(15): 409−417. (in Chinese with English abstract). doi: 10.13386/j.issn1002-0306.2021070372.

软骨素裂解酶的研究进展

Research Progress in Chondroitinase

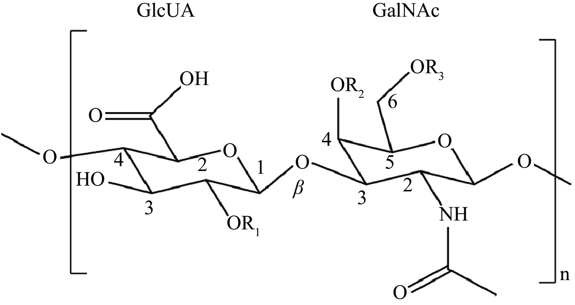
  • 摘要: 硫酸软骨素(chondroitin sulfate,CS)是由葡萄糖醛酸和乙酰半乳糖胺交替连接的带负电荷的线性大分子多糖,具有多种生理活性,包括修复关节软骨、抗氧化、降血脂、抗凝血、抗血栓及抗肿瘤等,但CS的高分子量限制了其很多功能的有效发挥。软骨素裂解酶(chondroitinase,Chase)作为一类降解CS的裂解酶,可裂解CS产生低分子量CS,从而有效克服CS生物利用率低的缺点。本文结合笔者工作,简要介绍了CS和低分子量CS的生物活性,阐述了Chase裂解CS的催化机制,系统梳理了Chase的种类和来源、发酵生产和表征以及重组表达和应用方面的研究进展,以期深入理解低分子量CS和Chase的研究现状和发展趋势,促进Chase的工业化生产。

     

    Abstract: Chondroitin sulfate (CS) is a negatively charged linear macromolecule polysaccharide interlaced with glucuronic acid and acetylgalactosamine. It has a variety of physiological activities, including repair of articular cartilage, antioxidant, lipid-lowering, anticoagulant, antithrombotic and antitumor, etc. However, the high molecular weight of CS restricts its effective use of many functions. Chondroitinase (Chase), as a type of lyase that degrades CS, can cleave CS to low-molecular-weight CS, which effectively overcomes the shortcomings of low bioavailability. Based on the author’s work, this article briefly introduces the biological activities of CS and low-molecular-weight CS, expounds on the catalytic mechanism of Chase cracking CS, systematically sorts out the types and sources of Chase, fermentation production and characterization, as well as research progress in recombinant expression and application, view intending to deeply understand the research status and development trend of low molecular weight CS and Chase, and promote the industrial production of Chase.

     

/

返回文章
返回