• EI
  • Scopus
  • 中国科技期刊卓越行动计划项目资助期刊
  • 北大核心期刊
  • DOAJ
  • EBSCO
  • 中国核心学术期刊RCCSE A+
  • 中国精品科技期刊
  • JST China
  • FSTA
  • 中国农林核心期刊
  • 中国科技核心期刊CSTPCD
  • CA
  • WJCI
  • 食品科学与工程领域高质量科技期刊分级目录第一方阵T1
中国精品科技期刊2020
周慧吉,彭博,李廷钊,等. 枸杞子中玉米黄素双棕榈酸酯及枸杞酸的测定[J]. 宝威体育平台,2021,42(12):294−299. doi: 10.13386/j.issn1002-0306.2020090069.
引用本文: 周慧吉,彭博,李廷钊,等. 枸杞子中玉米黄素双棕榈酸酯及枸杞酸的测定[J]. 宝威体育平台,2021,42(12):294−299. doi: 10.13386/j.issn1002-0306.2020090069.
ZHOU Huiji, PENG Bo, LI Tingzhao, et al. Determination of Zeaxanthin Dipalmitate and 2-O-( β -D-glucopyranosyl) Ascorbic Acid in Fruit of Lycium barbarum L. DOI: 10.13386/j.issn1002-0306.2020090069
Citation: ZHOU Huiji, PENG Bo, LI Tingzhao, et al. Determination of Zeaxanthin Dipalmitate and 2-O-( β -D-glucopyranosyl) Ascorbic Acid in Fruit of Lycium barbarum L. DOI: 10.13386/j.issn1002-0306.2020090069

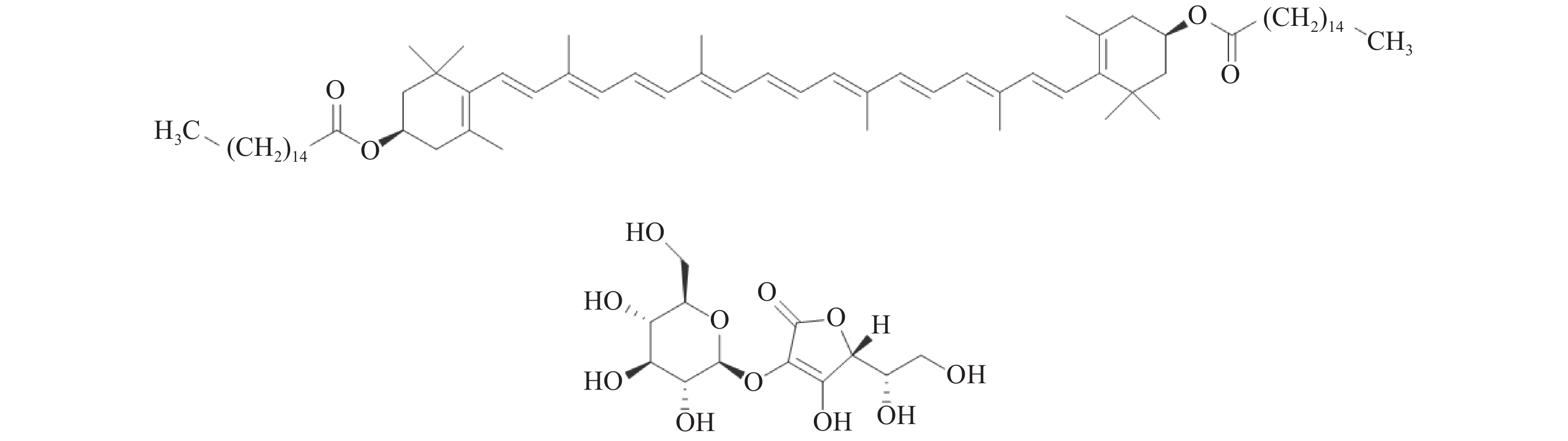
枸杞子中玉米黄素双棕榈酸酯及枸杞酸的测定

Determination of Zeaxanthin Dipalmitate and 2-O-(β-D-glucopyranosyl) Ascorbic Acid in Fruit of Lycium barbarum L.

  • 摘要: 目的:建立枸杞子中脂溶性活性成分玉米黄素双棕榈酸酯及水溶性活性成分枸杞酸(AA2βG,即2-O-(β-葡糖苷)-抗坏血酸)的液相含量测定方法。方法:采用高效液相色谱法,色谱条件为Luna C18(2)色谱柱(4.6 mm×250 mm,5 μm),流动相丙酮: 甲醇=55:45,等度洗脱,流速1.0 mL/min,柱温25 ℃,检测波长450 nm;枸杞酸检测:UPLC,Waters二醇基柱Torus TM Diol Column(3 mm×100 mm,1.7 μm),流动相为乙腈−66.7 mmol/L醋酸铵(体积比85:15),等度洗脱,流速为0.4 mL/min,柱温40 ℃,检测波长260 nm。结果:玉米黄素双棕榈酸酯在0.01~0.1 mg/mL范围内线性关系良好,r为0.9990;平均回收率为99.44%,RSD为4.04%。枸杞酸在3.125~100 μg/mL范围内线性关系良好,r为1.0000;平均回收率为96.30%,RSD为3.61%。22批枸杞样品中,玉米黄素双棕榈酸酯含量最高可达0.51%,枸杞酸含量最高可达1.33%。结论:该方法均准确可靠,重现性良好,可用于枸杞子的质量控制。

     

    Abstract: Objective: To establish LC methods for zeaxanthin dipalmitate and 2-O-(β-D-glucopyranosyl) ascorbic acid determination in the fruit of Lycium barbarum L. Methods: For the HPLC analysis of zeaxanthin dipalmitate, the test was performed on a Luna C18 (2) column (4.6 mm×250 mm, 5 μm) with the column temperature at 25 ℃. The isocratic elution was adopted with the mobile phase of acetone/MeOH 55:45(V/V) at a flow rate of 1.0 mL·min−1, and UV detection was performed at 450 nm. UPLC analysis of ascorbic acid was carried out on Torus TM Diol Column (3 mm×100 mm, 1.7 μm) at the temperature of 40 ℃. An isocratic system was also used at which the mobile phase (flow rate of 0.4 mL/min) consisting of acetonitrile (solventA) and 66.7 mmol/L ammonium acetate (solvent B) was set as 85% A and 15% B. UV detection wavelength was set at 260 nm. Results: The linear range of zeaxanthin dipalmitate and 2-O-(β-D-glucopyranosyl) ascorbic acid were 0.01~0.1 mg/mL and 3.125~100 μg/mL, with the correlation coefficient being 0.9990 and 1.0000, the average recovery was 99.44% and 96.30%, while the RSD was 4.04% and 3.61% respectively. In 22 batches of L. barbarum samples, the contents of zeaxanthin dipalmitate and 2-O-(β-D-glucopyranosyl) ascorbic acid were up to 0.51% and 1.33%, respectively. Conclusion: The two methods were accurate and reliable, which could be used to control the quality of L.barbarum fruit.

     

/

返回文章
返回