• EI
  • Scopus
  • 中国科技期刊卓越行动计划项目资助期刊
  • 北大核心期刊
  • DOAJ
  • EBSCO
  • 中国核心学术期刊RCCSE A+
  • 中国精品科技期刊
  • JST China
  • FSTA
  • 中国农林核心期刊
  • 中国科技核心期刊CSTPCD
  • CA
  • WJCI
  • 食品科学与工程领域高质量科技期刊分级目录第一方阵T1
中国精品科技期刊2020
马东,石梦瑶,朱贺,等. 明胶基生物可降解薄膜的研究进展[J]. 宝威体育平台,2021,42(11):365−371. doi: 10.13386/j.issn1002-0306.2020060256.
引用本文: 马东,石梦瑶,朱贺,等. 明胶基生物可降解薄膜的研究进展[J]. 宝威体育平台,2021,42(11):365−371. doi: 10.13386/j.issn1002-0306.2020060256.
MA Dong, SHI Mengyao, ZHU He, et al. Research Progress of Gelatin-based Biodegradable Films [J]. Science and Technology of Food Industry, 2021, 42(11): 365−371. (in Chinese with English abstract). doi: 10.13386/j.issn1002-0306.2020060256.
Citation: MA Dong, SHI Mengyao, ZHU He, et al. Research Progress of Gelatin-based Biodegradable Films [J]. Science and Technology of Food Industry, 2021, 42(11): 365−371. (in Chinese with English abstract). doi: 10.13386/j.issn1002-0306.2020060256.

明胶基生物可降解薄膜的研究进展

Research Progress of Gelatin-based Biodegradable Films

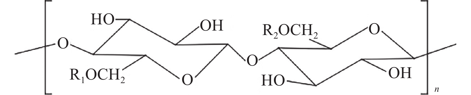
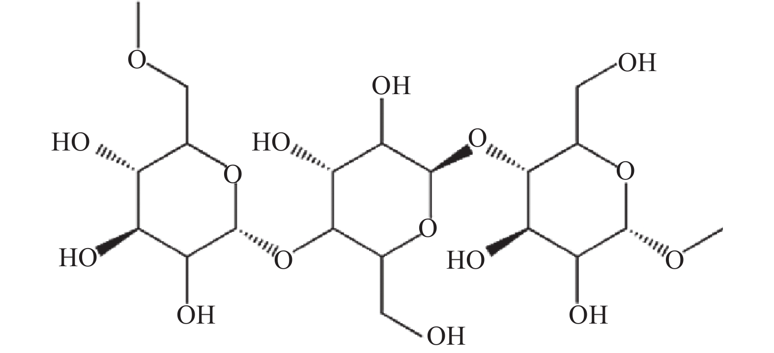
  • 摘要: 生物可降解薄膜用作聚乙烯保鲜膜的代替品是降低能源消耗,减少环境污染的策略之一。明胶本身易成膜,但明胶膜韧性差、易断裂和易吸水,这些缺点可以通过与其他生物大分子共混或交联改性的方法来解决。本文对作为食品包装材料的明胶基生物可降解薄膜研究成果及各类复合膜相应的物理化学性能进行综述,复合天然高分子化合物在改善明胶膜缺陷的同时,也赋予复合膜良好的拉伸强度和断裂伸长率,并且运用在肉类和果蔬类保鲜上可有效地阻隔氧气和二氧化碳,具有可观的发展前景。通过综述也对不足之处进行了展望,旨在阐明此领域研究的现状及发展趋势,为生物基可降解薄膜的改进提供思路与方向。

     

    Abstract: It is one of the sensible strategy to reduce the energy consumption so as to avoid the environmental pollution through replacement of polyethylene food film by biodegradable film. Gelatin is easy to make film. But the pure gelatin film is brittle and liable to fracture, and is highly hygroscopic. Fortunately, these faults can be modified by the methods of blending or crosslinking with other biomacromolecules. This paper gives a general review of the preparation and properties of the biodegradable films as food packaging paper materials. The composite natural polymer compound not only improves the defects of gelatin film, but also endows the composite film with good tensile strength and elongation at break. It can effectively block oxygen and carbon dioxide in meat, fruits and vegetables, and has a considerable development prospect. The shortcomings are also prospected through the review, aiming at the present state and the progress of investigation on this field, in order to provide a new insight and tendency for the future research.

     

/

返回文章
返回